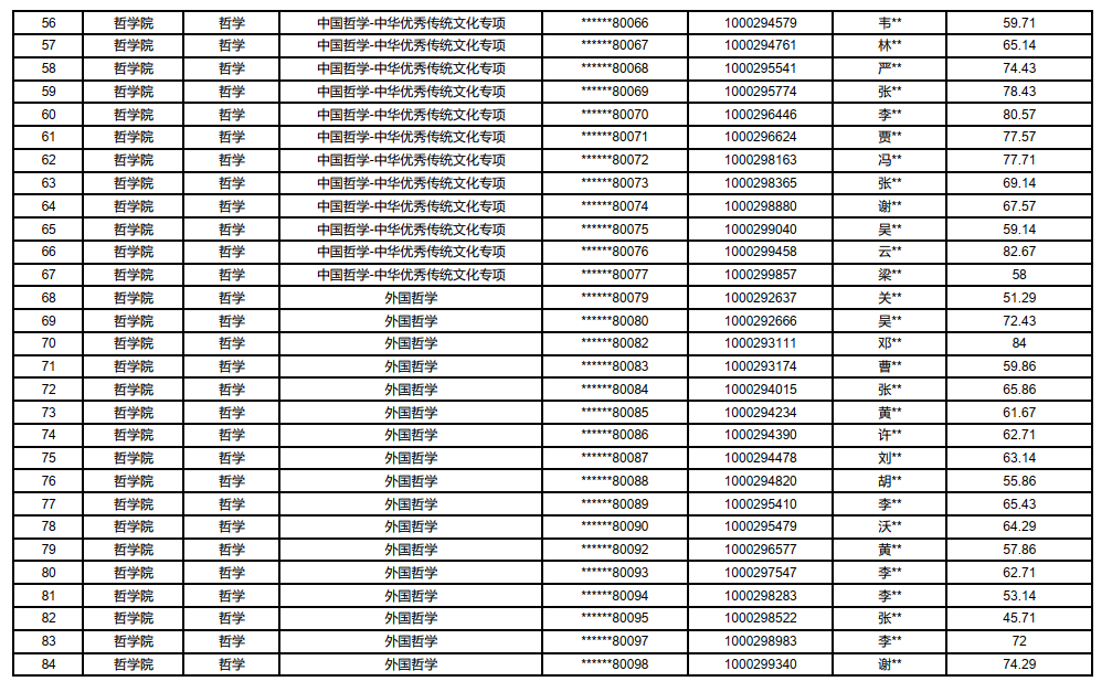
中国人民大学哲学院2026年“申请考核”制博士招生材料审核成绩
日期:2026-01-05













010-62515163(学院办公室)
010-62511273(硕士招生咨询)010-62511277(博士招生咨询)
北京市海淀区中关村大街59号中国人民大学人文楼五层
philosophy@ruc.edu.cn
中国人民大学哲学院
智乎哲也
Copyright © 2023中国人民大学哲学院 升星时代提供服务 京公网安备110402430004号 | 京ICP备05066828号-1
